50寸液晶电视的选购以及观看距离
高清视觉网 点击:
现在人们对于健康看的比什么都要重要,而我们看电视也关乎着我们眼睛的健康问题。我们不仅要看的清楚,还要能够保护眼睛,所以,电视的观看距离就变得无比重要。今天,小编就和大家探讨一下50寸液晶电视的观看距离以及它的选购指南吧。
![50寸液晶电视的观看距离以及选购[指南]](https://www.x64go.com/uploadfile/2015/1203/20151203010749185.jpg)
人眼由于构造,只能看到眼前横度150度左右,纵度140度左右的范围,所以我们观看电视只要在上下方40度,左右60度的可视角度里,观看电视就是清晰的,这样的观感就已经可以了。照目前的电视来看,几乎所有的液晶电视都是16:9的宽荧幕设计,宽大的屏幕如果坐的较近一定会在左右的可视范围内出现畸变,造成观看效果无法达到最优化。
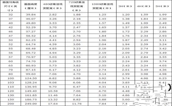
最佳观看距离=液晶屏对角线长度×2(这是最近观看距离)/×3(这是最远观看距离) 最大电视尺寸(英寸)=观看距离(厘米)÷3.736 最小电视尺寸(英寸)=观看距离(厘米)÷6.227小编为大家整理了一下各个尺寸的最佳观看距离:
50寸液晶电视的选购1.根据客厅面积选购50寸液晶电视
电视机屏幕越大,相应的观看距离就要增加,一台50寸液晶电视,放在一个小客厅中,恐怕看起来既不对称,连摆设都不如。观看电视最合理的的距离就是既要求让人能够在不转动眼睛和头部的情况下看清楚电视画面的每一个角落,对于50寸液晶电视尺寸来说,最佳的观看距离大约在4.5米左右,这样的距离,在小客厅中犹如天方夜谭。
![50寸液晶电视的观看距离以及选购[指南]](https://www.x64go.com/uploadfile/2015/1203/20151203010749657.jpg)
2.根据50寸液晶电视的性价比选购
从古至今,商品价格都是影响成交率的绝对因素,50寸液晶电视也不例外,因此无论购买任何商品,大多数消费者都不会直接问商品质量怎么样,而是首先问价格如何。由此可见,性价比对于一款产品的重要性,经常就看见很多电视品牌打折让利的活动,看似降价了上千元,可实际价格仍然让人望而却步,一款50寸液晶电视尺寸的大屏幕平板电视,基本上都是属于该品牌的高端产品,价格基本上都在万元以上。
![50寸液晶电视的观看距离以及选购[指南]](https://www.x64go.com/uploadfile/2015/1203/20151203010749210.jpg)
3.根据50寸液晶电视的配件选购
许多购买平板电视的家庭,都是将电视挂在墙壁上,这样不仅美观,而且还节省了空间。不过一台50寸液晶电视少说也有几十公斤的重量,稍微重一些的或许达到50公斤,其重量相当于4台1.5匹分体空调室内机重量,若是安装不好,后果十分严重。
不过要安装挂好50寸液晶电视,对它的配件要求非常高,特别是壁挂托架的质量一定要好,而且必须经过严格的计算和反复的测试,无论是在强度和耐用度方面都能达到要求才行。
上一篇:TCL电视液晶屏检修及介绍
